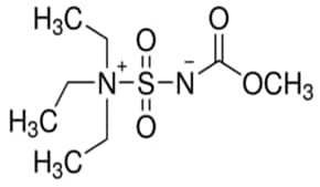
El Reactivo de Burgess (N-(trietilamoniosulfonil)carbamato de metilo) es un reactivo utilizado a menudo como deshidratante suave y selectivo en química orgánica.[1][2] Fue desarrollado en el laboratorio de Edward M. Burgess en Georgia Tech.
El reactivo de Burgess es un carbamato y una sal interna (zwitterion). Se utiliza para convertir alcoholes secundarios y terciarios con un protón adyacente en alquenos. La deshidratación de los alcoholes primarios no funciona bien. El reactivo es soluble en disolventes orgánicos comunes.
La deshidratación del alcohol tiene lugar con eliminación syn a través de una reacción de eliminación intramolecular. El mecanismo de reacción consta de dos partes:
- - Ataque del hidroxilo del alcohol al azufre sulfónico para formar el éster sulfónico correspondiente.
- - El nitrógeno aniónico sustrae un protón alfa al éster para dar la eliminación por un mecanismo E1.
Preparación
El reactivo se prepara a partir de isocianato de clorosulfonilo por reacción con metanol y con tratamiento posterior trietilamina en benceno:[3]
Referencias


![]()
![]()
